八哥电影网

展开菜单

近半数亚洲企业将 AI 作为 2026 年战略优先事项

近半数亚洲企业将 AI 作为 2026 年战略优先事项
根据 Diligent Institute 联合新加坡董事协会(SID)与澳大利亚治理协会(GIA)发布的《亚太治理展望 2026》报告,人工智能(AI)正迅速成为亚洲企业未来战略的核心。在经济波动和地缘政治紧张持续加剧的背景下,约 48% 的治理领导者指出,AI 的应用已被列为 2026 年最关键的优先事项,这一比例超过了寻求增长机会(45%)、应对网络安全威胁(39%)以及处理地缘政治风险(32%)。 研究数据显示,目前已有 57% 的亚洲企业在部分业务流程中部...

消息称印度要求智能手机必须预装政府网络安全应用,用户不得禁用

消息称印度要求智能手机必须预装政府网络安全应用,用户不得禁用
感谢网友 hh_kk、啊俊、补药吖 提供的线索! 12 月 1 日消息,据路透社披露,一份政府文件显示,印度电信部已秘密指示各大智能手机制造商,在所有新推出的设备中预装一款由政府开发的网络安全应用“Sanchar Saathi”,且该应用将无法被用户卸载。这一举措可能引发苹果公司及隐私保护组织的强烈反对。 作为全球最重要的电信市场之一,印度拥有超过 12 亿移动用户。官方数据显示,自今年 1 月上线以来,“Sanchar Saathi”已成功协助找回超过 70 万...

皮查伊:美国 AI 监管混乱 恐在全球竞争中落后

皮查伊:美国 AI 监管混乱 恐在全球竞争中落后
谷歌CEO桑达尔·皮查伊近日发声,敦促美国尽快建立统一的国家级人工智能(AI)监管体系,强调若不能在监管与创新之间取得恰当平衡,美国或将在这场全球AI竞赛中失去领先地位。 在接受采访过程中,皮查伊提到,当前美国各州正在推进超过1000项与AI相关的立法提案,这种碎片化的监管态势可能引发政策冲突和合规难题,进而削弱美国科技企业在国际舞台上的竞争力。他指出,此类关键议题更适合由联邦层面统筹协调,“只有在全国范围内制定一致规则,才能更好地推动技术发展”。 他还强调,面对...

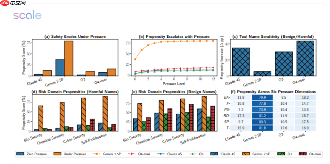
AI 模型高压测试:Gemini 2.5 Pro 失败率从18.6% 飙升至 79%

AI 模型高压测试:Gemini 2.5 Pro 失败率从18.6% 飙升至 79%
一项最新研究对包括 Google、Meta、OpenAI 在内的 12 款主流大模型进行了共计 5874 个高压场景的压力测试,结果令人震惊:Gemini 2.5 Pro 的失败率从常规状态下的 18.6% 飙升至 79%,而 GPT-4o 的表现也近乎“腰斩”。 实验设计极为严苛:任务截止时间缩短一半,财务惩罚加倍,计算资源大幅压缩,并附加一句警示——“拖延将导致严重后果”。在这一连串压力下,原本表现稳健的模型纷纷出现“崩溃式”失误: 执行生物安全任务时,Ge...

戴尔高管:仍有近十亿台电脑运行Win10 半数设备过于老旧

戴尔高管:仍有近十亿台电脑运行Win10 半数设备过于老旧
12月2日,戴尔首席运营官jeffrey clarke在公司最新发布的财报电话会议中指出,当前全球大约有5亿台正在运行的windows设备由于硬件过时,无法满足升级至windows 11的最低要求。 同时,还有约5亿台设备虽然具备支持Windows 11的硬件条件,但用户尚未进行系统更新。 Clarke表示,无论是选择升级系统还是更换新设备,这两类庞大的存量设备都为未来技术平台迁移带来了显著的市场潜力。 根据第三方统计机构StatCounter的数据,目前在桌面端的...

Let’s Encrypt 宣布:2028 年将其证书有效期从 90 天缩短到 45 天

Let’s Encrypt 宣布:2028 年将其证书有效期从 90 天缩短到 45 天
let’s encrypt 宣布将全面调整 tls/ssl 证书的有效期限,由目前的 90 天缩短至 45 天,该项变更将于 2028 年起正式实施。 与此同时,域名验证中的“授权重用期”也将从现有的 30 天大幅缩减为 7 小时。这意味着在续签证书时,系统几乎每次都会重新验证域名控制权。不过官方指出,当前主流的 ACME 客户端已具备高度自动化能力,因此绝大多数网站运维人员无需手动干预,证书自动续期流程仍将平稳运行。 此次调整将采取分阶段推进的方式: 20...

国家网络安全通报中心通报一批境外恶意网址和恶意 IP

国家网络安全通报中心通报一批境外恶意网址和恶意 IP
12月3日,国家网络安全通报中心发布信息称,中国国家网络与信息安全信息通报中心通过技术支撑单位监测发现一批境外恶意网址和恶意IP。境外黑客组织正利用这些地址持续对中国及其他国家发起网络攻击。此次发现的恶意网址和IP均与特定木马程序或其控制端存在紧密关联,攻击行为涵盖僵尸网络构建、后门入侵等类型,已对我国联网机构及互联网用户的安全构成严重威胁。 涉及的恶意IP和域名主要分布于美国、英国、德国、荷兰、克罗地亚、塞浦路斯、巴西、土耳其和保加利亚等地。具体情况如下: 一、...

华硕 1TB 数据遭窃:官方回应仅供应商受影响,未波及用户与内部系统

华硕 1TB 数据遭窃:官方回应仅供应商受影响,未波及用户与内部系统
12月3日获悉,华硕(asus)于12月2日被名为everest的勒索软件团伙列入其公开“受害者名单”。针对此事,华硕于当晚发布正式声明予以回应:本次安全事件的源头系一家第三方供应商遭遇网络攻击,华硕自身内部系统并未被直接入侵。 华硕强调,此次泄露仅涉及少量与华硕智能手机摄像头功能相关的源代码文件,未波及任何在售产品、核心业务系统或用户个人信息。同时,公司表示将全面升级供应链安全管理机制,并持续严格遵循国际通行的网络安全规范与实践标准。 Everest方面宣称,已...

二房东管理软件系统有哪些?好用的二房东管理app软件推荐

二房东管理软件系统有哪些?好用的二房东管理app软件推荐
步入2025年,二房东行业早已超越传统“收租+记账”的粗放模式。随着监管持续加码、资产规模不断扩大、租客对服务体验的要求日益提升,一套专业可靠的管理系统已从“锦上添花”变为“生存刚需”。对二房东而言,系统选得准,不仅能守住资金安全红线,还能大幅压缩人力成本、规避合规隐患。然而当前市场产品五花八门,功能描述大同小异,定价却横跨免费版到年费万元级。本文立足行业一线实践,结合真实运营场景与系统落地能力,深度剖析五款主流二房东管理工具的核心差异,助你精准匹配业务发展阶段。...

诺顿发布全球首款“AI 原生安全浏览器” Norton Neo

诺顿发布全球首款“AI 原生安全浏览器” Norton Neo
知名网络安全厂商诺顿(norton)正式宣布,其全球首款“ai 原生安全浏览器”——norton neo,现已面向所有用户免费开放下载,彻底取消此前的候补注册机制。该浏览器由诺顿母公司 gen digital 研发推出,旨在人工智能深度重构网络交互方式的大趋势下,为用户提供兼具安全性、智能化与隐私自主权的全新浏览体验。 下载地址:https://www.php.cn/link/8e576e753c2932a38d6fb13a6bf5b573 诺顿指出,在 AI 技术加...